高速透平鼓风机
(1)、磁悬浮轴承鼓风机
福思宝磁悬浮轴承鼓风机,采用瑞士MECOS等国际一线主动磁悬浮轴承控制系统(符合ISO14839国际磁悬浮轴承标准)及高效变频驱动器,全部采用永磁同步电机,电机和变频驱动器效率均高于97%。气动设计技术先进,所设计叶轮全部经过台架试验验证,确保高效的气动效率,气动效率可达87%。
鼓风机由高速永磁同步电机和三元流叶轮直联,无接触,无摩擦,无需润滑,消除了传动损失;叶轮采用高强度铝合金,全部经100%X射线探伤和120%超转速实验,确保高效可靠运转;风机实现变频智能化控制,可以实现远程监控;整机采用撬装结构,布置紧凑,安装便捷。

(配图)
(2)、静压气体轴承鼓风机
静压气体轴承离心鼓风机是一种全新概念鼓风机,它区别于动压气体轴承离心鼓风机之处是风机转子全程悬浮,避免了动压气体轴承启动和停止过程中轴和轴承的磨损,同时相比动压气体轴承具有更高的承载力和刚度,提高了风机运行的可靠性和寿命。更小的密封气隙可以提高风机气动效率2%-3%。静压气体轴承鼓风机是一种性价比和可靠性都非常好的鼓风机。
(配图)
(1)磁悬浮轴承
磁悬浮轴承是利用磁力实现支撑的新型轴承,无接触、无润滑和密封、振动小、使用寿命长、维护费用低等。联合了国内外优秀的
磁悬浮轴承设计专家,积累了多年的磁悬浮轴承制造使用经验,结合多年高速叶轮机械转子动力学经验,可以为用户提供高效稳定
的磁悬浮轴承。

(2)静压气体轴承
静压气体轴承利用压力气体实现轴系悬浮支撑,风机转子全程悬浮。可使用多种气体介质。轴承及轴采用专用研发的特殊材料,
具有防冲击、耐磨、耐腐蚀等特点及强大的容错能力,稳定性好,可靠性高,运行寿命长。

(3)气动系统
拥有十余年的叶轮机械开发设计经验。我们设计的每一型叶轮都经过长期的台架实验,确保其气动性能高效可靠,叶轮效率可达
87%以上。采用变频调节方式,取消了导叶调节,启动电流更小,鼓风机的可调范围更宽。


(4)高速永磁电机
高速电机采用永磁同步电机。针对每个型号电机对驱动变频器进行软件和硬件二次开发,同时优化匹配电抗器或滤波器,电机及变
频器效率均高于97%,确保电机在低温,高效状态下稳定运行。


(5)冷却技术
鼓风机采用同轴风冷技术,无需配置额外的冷却系统。冷却系统流道设计合理,结构可靠。这种冷却设计可以确保鼓风机在各种环
境和工况下仍然保持可靠的工作性能,更加节能和可靠。


性能特点
(1)高效节能
①高速永磁电机与高效三元流叶轮直接驱动。
②比传统罗茨风机节能30%以上;
③比多级离心风机节能20%以上;
(2)低噪音
采用自平衡技术,磁悬浮/气体轴承振动量比传统轴承小一个量级且无机械摩擦,同时采用主动减振设计,运转稳定,机体振动很小。
风机噪音在80dB左右。
(3)智能控制
根据工况需求调节转速,实现压力,流量的调整。风机具有喘振预测和防喘振功能。为用户节约更多电能,更好的保护风机,能实
现远程监控。
(4)免维护
一体化设计,撬装结构,安装便捷,一键启停。日常运行,免机械维护,仅需更换或清洗过滤网及轴承过滤器。
|
型号 |
FPM/G/37A1 |
FPM/G/55A1 |
FPM/G/75A1 |
FPM/G/110A1 |
FPM/G/160A1 |
FPM/G/200A1 |
FPM/G/250A1 |
FPM/G/315A1 |
|
|
出口压力 |
0.45-1.2 |
0.45-1.2 |
0.45-1.2 |
0.45-1.2 |
0.45-1.2 |
0.45-1.2 |
0.45-1.2 |
0.45-1.2 |
|
|
流量范围 |
18-24 |
30-40 |
50-60 |
70-90 |
100-130 |
140-160 |
170-200 |
210-250 |
|
|
电机功率 |
37 |
55 |
75 |
110 |
160 |
200 |
250 |
315 |
|
|
整机尺寸 |
长 |
1400 |
1400 |
1570 |
1570 |
2000 |
2000 |
2200 |
2200 |
|
宽 |
1300 |
1300 |
1500 |
1500 |
1600 |
1600 |
1900 |
1900 |
|
|
高 |
1570 |
1570 |
1570 |
1570 |
1820 |
1820 |
2250 |
2250 |
|
|
重量(t) |
0.7 |
0.8 |
1.2 |
1.3 |
1.5 |
2.6 |
2.0 |
2.1 |
|
|
控制方式 |
可以提供:风压控制模式、转速控制模式、以及手动调节控制等。 |
||||||||
|
冷却方式 |
采用同轴风冷系统。 |
||||||||
|
润滑 |
采用磁悬浮轴承/静压气体轴承技术,无需任何润滑油/脂。 |
||||||||
|
电压 |
3相380V |
||||||||
|
标准附件 |
压力/温度传感器。 |
||||||||
|
选配附件 |
卸压(安全)阀、卸压(安全)阀消音器、止回阀、振动传感器、通讯口、互联网监控系统。 |
||||||||
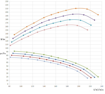
鼓风机性能曲线图
|
|
![]() |
|
FPM/G/37A1 |
FPM/G/55A1 |
![]() |
![]() |
|
FPM/G/75A1 |
FPM/G/110A1 |
![]() |
![]() |
|
FPM/G/160A1 |
FPM/G/200A1 |
![]() |
![]() |
|
FPM/G/250A1 |
FPM/G/315A1 |
空气轴承、磁悬浮轴承、齿轮箱增速高速鼓风机特性对比
|
静压空气轴承高速风机 |
动压空气轴承高速风机 |
磁悬浮轴承高速风机 |
齿轮箱增速高速风机 |
|
|
结构设计 |
●高度电机+变频器+静压空气 轴承 ●变频器调节鼓风机输出参数 ●高速电机转轴与叶轮直联 |
●高度电机+变频器+动压空气 轴承 ●变频器调节鼓风机输出参数 ●高速电机转轴与叶轮直联 |
●高度电机+变频器+磁悬浮轴承 ●变变频器调节鼓风机输出参数 ●高速电机转轴与叶轮直联 |
●低速电机(3000rpm)+增速齿 轮箱+滚动或滑动机械轴承+导叶 ●通过机械导叶调节鼓风机输出 参数 ●电机出力轴通过齿轮箱或联轴 器等中间传动装置与叶轮相连 |
|
轴承特性 |
●电机运行前转子已经通气起浮, 电机完全停止运行后,转子 再落在轴承上,转子从启动到 停止整个运行过程,轴和轴 承无机械接触,无磨损, 使用寿命较动压空气轴承长 ●轴承系统结构简单,便于维护, 轴承承载力和可靠性高于动 压空气轴承和磁悬浮轴承 ●运行过程中无需任何机械调整, 轴承自适应轴系位置 ●轴系运行轨迹小,回转精度高, 轴承工作间隙小(为磁悬浮 轴承1/10),气动密封间隙小 ,介质泄漏少,气动效率高 |
●电机启动和停机过程中转子轴和 轴承互相摩擦,随着启停次 数增加,轴承性能变差,可靠 性较差。高速运行过程中轴 和轴承无机械接触,使用 寿命较静压空气轴承短 ●轴承系统结构简单,便于维护, 轴承承载力和可靠性低于于 静压空气轴承和磁悬浮轴承 ●运行过程中无需任何机械调整, 轴承自适应轴系位置 ●轴系运行轨迹小,回转精度高, 轴承工作间隙小(为磁悬浮 轴承1/10),气动密封间隙小 ,介质泄漏少,气动效率高 |
●采用主动式磁悬浮轴承 ●无任何机械接触、无摩擦、无磨 损、寿命较长、维护技术难 度大 ●轴承系统十分复杂,制造和控制 难度较大,如有损坏,维修 成本和难度较大 ●运行过程中无需任何机械调整 ●轴系运行轨迹较大,轴承工作间 隙大(为空气轴承10倍), 气动密封间隙大,介质泄漏多 ,气动效率损失大 |
●采用滑动或滚珠机械轴承 ●轴承使用寿命短 ●需要复杂的油润滑和轴密封系统 |
|
润滑系统 |
●无需任何油润滑 ●需提供气源及过滤设备 |
●无需任何油润滑 ●需提供气源及过滤设备 |
●无需任何油润滑 |
●需要油润滑、油冷却、油泵油冷 却、油温控、油压控等复杂的 配套系统 |
|
设备维护 |
●长期不需维护保养 ●唯一需要做的工作是定期清洁或 更换空气过滤器所有滤材 ●常用备品备件(空气过滤材料) 在国内可以直接采购 ●维护保养成本低 |
●长期不需维护保养 ●维护保养成本低 ●易出现突发故障,如轴承损坏会 破坏叶轮及整个轴系 |
●长期不需维护保养 ●维护维修复杂,技术难度高,维 修成本高 |
●机器内有大小上百个甚至几百个 机械运动部件,如进口导叶、 出口导叶、电动/机械油泵、 轴承、大小齿轮等,设备发 生故障的频率高 ●设备维护保养工作相对繁琐,平 时传统风机的日常维护保养包 括润滑油或零部件的更换,而 且每隔15000个小时左右要 进行一次设备正常大修 ●除空气过滤材料以外,还需要油 过滤材料、鼓风机/齿轮箱密 封,进出口导叶等备品备件和 专用工具 |
|
基础尺寸、 |
设备占地面积小,重量轻 无震 动(无需固定基础) 整机出厂、安装快捷,风机平均 安装时间为3小时,最快为60min 噪音低,噪音80分贝以下 |
设备占地面积小,重量轻 无震 动(无需固定基础) 整机出厂、安装快捷,风机平均 安装时间为3小时,最快为60min 噪音低,噪音80分贝以下 |
设备占地面积小,重量轻 无震 动(无需固定基础) 整机出厂、安装快捷,风机平均 安装时间为3小时,最快为60min 噪音低,噪音80分贝以下 |
●需要防震装置和基础施工 ●噪音高:95分贝以下,需另设 隔音罩 ●设备安装及调试相对复杂
设备结构尺寸大、重量重,需 |

造纸业

钢铁冶金

污水处理

煤焦化工

生化制药

印染纺织

酿造发酵

火力发电






